BESIII Experiment Observes Threshold Enhancement Effect in Dipion System
Recently, the BESIII international collaboration experiment achieved a major breakthrough in charmonium decay research by, for the first time, observing a distinct "resonance-like" structure at the dipion mass threshold. The results of this study were published on April 8 in Physical Review Letters (Phys. Rev. Lett. 136, 141902 (2026)).

Fig.1 Schematic diagram of the decay ψ(3686) → π⁺π⁻ J/ψ (Credit: IHEP)
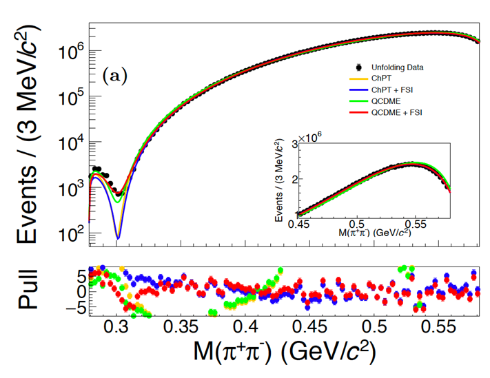
Charmonium, a bound state consisting of a charm quark and an anti-charm quark, is regarded as a "natural laboratory" for investigating the strong interaction—the strongest fundamental force in nature. Based on approximately 2.7 billion ψ(3686) events collected with the BESIII detector, the research team selected about 37 million ψ(3686) → π⁺π⁻ J/ψ events for an unprecedented high-precision analysis. In the dipion mass spectrum, a clear peak structure appeared near the π⁺π⁻ threshold. The measured mass of this structure is approximately 285.6±2.6 MeV/c², with a width of about 16.3±0.9 MeV. The width of this structure is much smaller than that of previously observed dipion resonant states, suggesting the presence of a different underlying physical mechanism.
To probe the nature of this intriguing structure, the research team compared two theoretical models. The study shows that when ψ(3686) is assumed to be a mixture of S-wave and D-wave components, and final state interactions (FSI) are introduced, the calculated results agree well with the experimental data, especially with this peculiar enhancement structure. This indicates that this structure is likely not a new particle in the traditional sense, but is closely related to the complex internal structure of the ψ(3686) particle and its decay mechanism—in effect, a unique quantum dynamical effect shaped by the strong interaction during the decay process.

Fig. 2 Comparison of the π⁺π⁻ mass distribution with theoretical model calculations (Credit: BESIII Collaboration)
Currently, BESIII is conducting further studies using the decay channel with neutral pion pair in the final sates. Regardless of whether this structure is ultimately identified as due to final state interactions, a new quantum state, or another decay mechanism, this result opens a brand new and high-precision observational window for understanding the complex behavior of strong interaction (quantum chromodynamics) in the low-energy non-perturbative region, and will undoubtedly push forward our understanding of the fundamental components of matter and their interactions.
Link to the paper: https://journals.aps.org/prl/pdf/10.1103/5h6z-p6nl