The BESIII collaboration has reported “Study of the Magnetic Dipole Transition of J/ψ → γηc via ηc → ppbar”. These results have been published in Physical Review Letters on 3rd Feb 2026 [Phys. Rev. Lett. 136, 051901 (2026)].
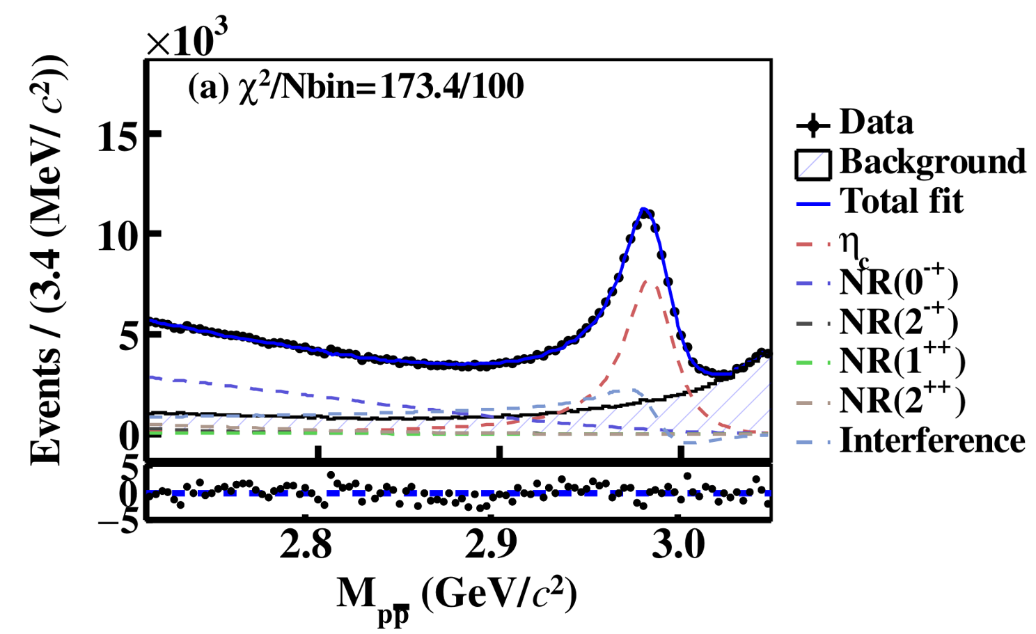
Radiative transitions between the charmonium system provide a unique platform to investigate the strong interaction in both perturbative and non-perturbative regions. Among them, the magnetic dipole transition between the two lowest-lying charmonium states J/ψ → γηc is of special interest. Over the past few decades, massive theoretical calculations of the transition rate have been performed via various approaches including Lattice-QCD, but the predicted values are systematically twice larger than the PDG global fit value, known as a long-standing puzzle. Previous experimental measurements of J/ψ → γηc were usually based on one-dimensional fits to ηc mass spectra. Due to the absence of angular information, the interference between ηc and various non-resonant components was either ignored or treated based on simple assumptions, which may cause large bias and uncertainties up to dozens of percent.
In this work, we report the first amplitude analysis of J/ψ → γppbar within the mass region M(ppbar)∈[2.70,3.05] GeV/c². Benefiting from the utilization of all available information through amplitude analysis, our work successfully avoids several major biases and large uncertainties, including neglecting interference, assumptions about non-resonant components, and the multi-solution problem, hence precisely determine B(J/ψ → γppbar)×B(ηc → ppbar) = (2.11±0.02±0.07)×10⁻⁵, with precision improved by one order of magnitude. Further combinations are made with two unique processes, J/ψ → γηc, ηc → γγ and γγ←→ppbar around the ηc peak, which are known to suffer from limited interference effects. The resultant branching fractions, B(J/ψ→γηc)=(2.29±0.01±0.04±0.18)% and B(ηc → γγ) = (2.28±0.01±0.04±0.18)×10⁻⁴, show good agreement with the last Lattice-QCD calculations, thus revealing a promising solution to the long-standing discrepancy between theory and experiment.

Fig 1. Fit projection of the amplitude analysis result on the M(ppbar) spectrum.

Fig 2. Comparison of (a) B(J/ψ → γηc) and (b) B(ηc → γγ) obtained in this work and predicted by various theoretical approaches.